空间谱测向设备的通道数必须等于天线阵元数吗?
MUSIC算法是空间谱估计技术中最为经典的算法。这一算法的提出具有里程碑式的意义,促进了特征结构类算法的兴起和发展。它的提出为阵列测向打开了一片广阔的空间。其基本思想是利用信号子空间和噪声子空间之间的正交性来实现入射信号的来波方向估计。

图1 典型的空间谱测向系统组成
空间谱测向的主要步骤见《测向体制系列介绍:空间谱测向技术概述》。空间谱测向的阵列接收信号模型为:
其中,天线阵元数为M,则可以测向的信号数为L,L≤M-1。

阵列信号接收模型中的M维信号表示M个天线阵元,但是不一定是严格同时采集的信号,即不一定需要M个采集通道同时采集。
在空间谱测向技术的实际应用中,“通道数必须等于天线阵元数”是一个常见的认知误区。不少从业者默认二者需严格匹配,才能保证测向精度与性能,但实际上,通过合理的硬件设计与算法优化,空间谱测向设备的通道数完全可以小于或等于天线阵元数(即欠通道配置),且能满足不同场景的应用需求。这种灵活配置不仅能降低硬件成本,还能适配小型化、低成本的工程部署,成为近年来空间谱测向技术的重要发展方向之一。
【欠通道配置空间谱测向】
(一)核心原理
欠通道配置空间谱测向的核心逻辑是“分时选通、矩阵恢复”。利用多路射频切换开关,按预设策略分时选通不同的天线阵元组合,通过有限通道接收机采集子阵信号。欠通道配置空间谱测向组成示意图如下图所示,其中M为天线阵元数,P为接收机通道数,P≤M。

图2 欠通道配置空间谱测向系统组成示意图
由于欠通道配置存在额外的射频开关转换时延,导致其数学模型与阵列满通道存在一定的差异,将开关转换引起的时延纳入导向矢量中,基于相位补偿构建针对窄带信号的阵列单通道频域接收信号模型(高强《阵列单通道高精度 DOA 估计与跟踪算法研究》)。
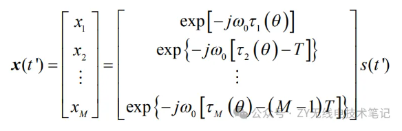
下面以M元天线单通道接收机接收单信号为例进行推导证明。
一个远场窄带信号s(t),以角度q入射到由M个阵元组成的空间某传感器阵列。设采样起始时刻为t',射频开关转换时间间隔为T,依次对各个阵元进行采样,在不考虑 噪声的情况下,轮采一次得到M个数据样点:

(式1)
其中,
表示s(t)入射到第m个传感器阵元相较到达参考阵元的延时。由于入射信号为远场窄带信号,则可以将时间延迟转换为相位延迟,即信号的复包络满足:

(式2)
其中,信号的中心频率是:
中心角频率是:
将(式2)代入(式1)可得:
(式3)
因此,接收机接收的以t'为采样起始时刻的一次轮采M个数据样点表示成向量形式为:

(式4)
由(式4)可知,一次轮采数据向量可以表示为:

(式5)
其中,
为本文定义的阵列单通道方向向量,即

(式6)
轮采起始时刻t'表征了随机过程的一次实现,用
表示,每次不同的实现对应于不同的
用
表示所有可能的实现。于是得到接收信号的随机向量模型
为M维随机向量:

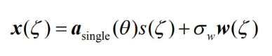
(式7)
考虑到噪声的影响,最终的表达式为:

(式8)
有了上面的模型,可以很容易地得到多个信号入射时的信号处理模型。考虑有P个拥有不同频率如
的远场窄带信号同时入射到天线阵列入射方位角分别为,同时假定辐射源的个数和方位角为
在观测时间段内不发生改变,则一次轮采接收到的M个数据为这P个信号的叠加,具体表示为

(式9)
写为矩阵形式为

(式10)
其中

(式11)

(式12)
以上为阵列单通道系统的信号处理模型,形式上与多通道系统下的模型完全相同,仅仅方向向量与多通道不同,这是因为增加了一个由轮流采样引入的时延。有了以上模型,可以直接运用MUSIC算法在阵列单通道系统下进行高分辨DOA估计。
(二)系统组成
相较于满通道系统,欠通道配置空间谱测向设备新增了切换控制模块,整体组成包括五大核心部分,各模块协同完成信号采集与处理:
●天线阵列:由M个全向天线组成(M为阵元数),通常采用均匀线阵布局,相邻阵元间距设为信号半波长,用于接收远场窄带入射信号;
●射频切换开关:采用P-1个多路切换开关(P为通道数),由同步时序控制器控制,实现天线阵元与接收机通道的分时选通,每次选通P个特定阵元构成子阵;
●多通道接收机:共P个接收通道,负责对选通的子阵信号进行放大、滤波、下变频及模数转换,输出数字信号;
●同步时序控制器:精准控制射频切换开关的切换时序,确保阵元选通、信号采集的同步性,避免时序偏差导致的信号失真;
●信号处理单元:完成协方差矩阵计算、全阵协方差矩阵恢复、空间谱估计及DOA解算,是少通道测向的核心运算模块。
下图为九元三通道空间谱测向设备方案示意图(《少通道空间谱测向方案研究》)。

图3 九元三通道空间谱设备组成原理图

图4 九元三通道空间谱测向方案示意图
(三)欠通道与满通道对比
对比维度 | 满通道空间谱设备 | 欠通道配置空间谱设备 |
核心架构 | 阵元数=物理通道数,全阵元同步采集,保留完整原始信号。 | 物理通道数远少于阵元数,通过时分复用等方式完成信号采集。 |
硬件成本 | 劣势:核心器件用量多,高阵元阵列下成本极高。 | 优势:器件用量精简,成本显著降低。 |
体积功耗 | 劣势:体积大、重量沉,功耗偏高,散热要求高。 | 优势:小型轻量化,低功耗,适配便携场景。 |
测向精度与分辨率 | 优势:精度、分辨率最优,谱峰纯度高,适配各类空间谱算法。 | 劣势:存在采样误差,精度与分辨率低于满通道,依赖算法补偿。 |
实时性 | 优势:无前置重构环节,实时响应速度快。 | 劣势:预处理增加时延,实时性较差。 |
适用场景 | 高精度固定测向站、高端侦察、科研验证等对精度要求严苛的场景。 | 便携手持设备、低成本批量部署、无人机载等轻量化需求场景。 |
综上所述,空间谱测向设备的通道数并非必须与天线阵元数相等,欠通道配置凭借“分时选通 + 矩阵恢复 + 超分辨算法”的技术路径,成为兼顾性能与成本的优选方案。其核心逻辑是通过射频切换开关与同步时序控制,用有限通道实现多阵元信号的分时采集,再依托协方差矩阵恢复技术,补足欠通道模式下的信号信息缺失。
从工程应用来看,欠通道配置大幅降低了设备的硬件成本、体积与功耗,双通道、三通道等产品已在无线电监测、电子对抗等领域实现广泛落地。未来,随着算法优化与硬件小型化的持续推进,欠通道空间谱测向技术将进一步打破性能与成本的平衡壁垒,在更多民用、军用场景中释放技术价值。

关于祯仪
祯仪科技,专业从事宽频段无线电信号接收,适用于无线电管理、信号侦查与分析、通用频谱分析、卫星导航监测、低空复杂电磁环境感知等。
Recommend
-
-
QQ Zone
-
Sina Weibo
-
Renren.com
-
Douban
