在《给英国装上“千里眼”——雷达之父沃森瓦特发明雷达趣闻》中,我们介绍了沃特森-瓦特发明雷达的故事。作为工业革命之父--詹姆斯-瓦特的后代,沃特森-瓦特的另一个重要发明:沃特森-瓦特测向技术将是本期我们介绍内容。介绍前小编深深感慨一下:一脉相承的两位“瓦特”,人类发明历史上的两颗耀眼的明星。
1919年,英国陆军无线电观测工程师Frank Adcock中尉的专利奠定了技术基石——他设计的四天线正交阵列通过机械旋转实现幅度测向,四个天线单元分别置于东西(EW)和南北(NS)方向,形成两对正交配置的差分信号通道,每对天线的方向图呈现“8”字形特性,仅对特定方向的无线电波敏感。
这种H形或U形的结构设计,确保东西向天线对主要接收水平方向信号,南北向天线对主要接收垂直方向信号。利用辐射方向图零点确定信号方位,这一“机械转向”方案成为早期无线电定位的原型。
图1 4元Adcock天线阵示意图
但真正的突破来自沃特森-瓦特在1925-1926年的改进:他用阴极射线管上的利萨如(Lissajous)图形椭圆倾斜角替代机械旋转,通过观察示波器波形直接指示信号方向,并创新性地增加第五个天线解决方位模糊问题,使测向系统从笨重的机械装置进化为全电子设备。这一改进不仅将响应速度提升百倍,更为后续军事化应用埋下关键伏笔。
在英国气象局的实验室里,这项电子测向技术最初服务于纯粹的和平目的。为保障早期商业航空安全,沃特森-瓦特团队开发出基于闪电无线电波的雷暴定位系统,1926年首次成功测定雷暴产生的无线电信号方向,使飞行员能提前规避危险天气。
沃特森-瓦特测向技术是一种响应速度快、抗干扰能力强、系统简单的振幅比较式测向方法,然而,沃特森-瓦特测向精度较低、测向灵敏度较低和抗失真能力较弱,因此在实际应用中需要选择合适的天线阵元和合理的布局来提高其测量精度和性能。由于其测向天线阵列选用的是小基线天线,体积小,因此非常适合在手持和车载条件下使用。
沃特森-瓦特测向系统基本结构原理图如图2所示。

图2 沃特森-瓦特测向系统基本结构原理图
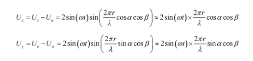
假设接收到的电磁信号方位角为α、仰角为β、频率为①、波长为λ、天线口径为d,则其在南、北、东、西四处天线上的感应电势输出分别为:
其中,r=d/2。对两个相对天线,计算出它们之间的差电压为:

根据数学表达式,这两路差电压作为阿德考克天线的射频输出,也是来波方向对信号幅度的调制,方向图为一对8字双圆形。通过分析和计算得出了在不同频率下测量到的两个差模电流幅值与相位之间关系。通过下式,给出了来波方向α的估算为:
α = arctan(Uy/Ux)
中亚通茂公司的HSD223短波可搬移式三通道测向系统,通过短波有源交叉环天线及三通道测向主机,实现1.5MHz~30MHz的高精度测向,测向准确度可达4度,灵敏度可达10uV/m,具备完备的宽带(28.5MHz)与窄带(32路DDC)相接合的信号分析功能。
图3 HSD223短波可搬移式三通道测向系统
沃特森-瓦特技术在二战中完成实战化改造。英国皇家海军将其部署在护航舰与反潜机上,通过截获U艇无线电通信,可在10秒内确定潜艇方位,据历史统计,该系统直接促成约25%的德国U艇被击沉,大幅削弱了大西洋海战中德军的水下优势。

图4 二战时德国U艇
在不列颠战役的防空作战中,该技术展现出关键价值。1940年夏季,伦敦周边的“过滤室”控制中心内,操作员紧盯着阴极射线管屏幕上闪烁的光斑——这是Chain Home雷达网与沃特森-瓦特测向系统的协同杰作。当德国轰炸机群尚在英吉利海峡上空时,系统已通过分析其导航无线电信号,将方位、高度、速度数据实时传输给皇家空军指挥部,使有限的战斗机群能精准拦截。这种“提前看见”的能力,让英国在雷达站数量仅为德国三分之一的情况下,仍能保持70%以上的拦截成功率,成为扭转空战局势的“无形防线”。
祯仪科技,专业从事宽频段无线电信号接收,适用于无线电管理、信号侦查与分析、通用频谱分析、卫星导航监测、低空复杂电磁环境感知等。