|
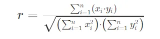
测向体制系列介绍:从铁掌水上漂开始谈干涉仪测向体制Time:2025-11-25 《射雕英雄传》中,郭靖和黄蓉闯铁掌山寻武穆遗书,引得“铁掌水上漂”裘千仞追击,双方在青龙滩混战。当裘千仞用“水上漂”武功,以相同步频连续踩踏水面时,水面激起了多圈波浪。 受伤观战的黄蓉发现:当两列水波相遇时,波峰与波峰重叠的地方水面会荡得更高,而波峰与波谷相遇的地方水面则会变得平静。 图1.水波干涉现象 干涉现象的本质是波的叠加,当两列波的波峰与波峰(或波谷与波谷)同时到达某一点时,它们叠加后的振幅增强,形成明条纹,这是相长干涉。当一列波的波峰与另一列波的波谷同时到达某一点时,它们叠加后的振幅减弱甚至抵消,形成暗条纹,这是相消干涉。 一、武侠之外的理论起点:杨氏双缝实验 19世纪初,英国科学家托马斯・杨做了个著名实验:让一束光穿过两条狭缝,屏幕上居然出现了明暗相间的条纹。这个看似简单的实验,不仅首次证明了“光会像波一样相互干涉”,更给后来的干涉理论打下了坚实基础 —— 这就是干涉仪测向技术的“思想源头”。 图2.杨氏双缝干涉实验示意图——光的波动性从这里被证实 二、理论到实践:什么是干涉仪? 干涉仪是干涉原理的巧妙应用。尽管种类繁多,但它们的基本思路万变不离其宗,以光作为波源为例,通常包含以下几个步骤: 分束:将来自同一光源的一束光利用分束器分成两束或多束(例如采用分波阵面法或分振幅法)。 传播:让分束后的光沿不同的路径(通常一束作为参考光路,另一束作为测量光路)传播。 重合并干涉:使这些光路最终重新汇合到一起。由于走过的路径可能不同,它们之间会存在光程差,从而产生干涉条纹。 干涉仪的精妙之处在于:任何微小的、导致光程差发生改变的因素(例如长度的变化、折射率的改变等),都会引起干涉条纹的移动或变化。通过监测这些条纹,我们就能以极高的精度反推出引起变化的物理量。 1881年美国物理学家迈克尔逊造出了“迈克尔逊干涉仪”。它用一种叫“分振幅法”的巧妙方式,把一束光拆成两束,让它们在不同“光程” 下再次相遇产生干涉。通过测量两束光的光程差,就能实现对物理量的精密测量 —— 这标志着干涉理论从基础研究,正式迈向了实际应用,这一发明不仅为白光干涉技术提供了实验模型,更重要的是,它验证了“用干涉原理做精密测量”的可行性 —— 为后来干涉技术从“光领域”迁移到“无线电领域”埋下了伏笔。 图3. 迈克尔逊干涉仪构造示意图 三、干涉仪测向技术的诞生:从光的干涉到无线电的突破 无线电波也是按波浪前进,按干涉仪的基本原理,那经过不同传播路径的无线电波叠加,“产生干涉现象”时(打引号意为:并非真正在物理空间电磁场中产生,而是数学空间中产生),它的“干涉条纹”的变化可以推算出什么物理量呢? 聪明的你应该想到了:来波方向! 20世纪60年代,电子技术迎来爆发期,无线电测向需求也随之升级:传统技术要么精度不够,要么抗干扰能力弱。1961年,N.Burtnyk、C.W.Mcleish和J.Wolfe三位研究者率先提出“干涉仪测向技术”,并通过论文《The Application of the Interferometer to H.F.Direction-Finding》(干涉仪在高频测向中的应用),为这项技术搭起了核心框架。此外,该技术的发展还得益于以下关键论文,这些论文均发表于《Proceedings of the IEE》(英国电机工程师学会会刊): 表1 奠定了干涉仪测向技术的标志性文章 这三篇论文奠定了干涉仪测向技术的实践基础,明确其高精度、抗干扰的核心优势,是后续研究的重要基石。 四、相关干涉仪测向技术解析:四步看懂“信号如何测向” 干涉仪测向技术通过测量信号到达不同天线的相位差计算来波方向,是一种经典的测向方法;而相关干涉仪测向在传统原理基础上,引入信号相关性分析,通过“抓信号差异→算方向”的核心逻辑,实现更复杂场景下的高精度测向。两者最大区别在于:传统干涉仪依赖单一路径相位差,易受多径效应、环境噪声干扰;相关干涉仪通过多天线信号的相关性计算优化相位差数据,增强抗干扰能力。 相关干涉仪测向主要包括了以下“四步”:“信号接收→相位差提取→相关优化→方向解算”,在相关优化环节消除非相关噪声,降低测向误差。 要测信号方向,首先得有能“捕捉差异”的天线阵。目前主要有单基线和多基线两种设计,核心是通过天线间距获取信号的“到达差异”: 由2个相同天线组成,间距叫“基线长度D”。当电磁波从方位角θ(和基线法线的夹角)入射时,信号会先到天线2,再到天线1,形成“波程差L”(就像两列人从不同位置出发到同一终点,间距越远,到达时间差越明显)。 这种架构的优点是简单、成本低,但有个致命问题:“相位模糊”。当天线间距D大于信号波长λ的一半(D>λ/2)时,两天线接收的相位差会超过±π,就像钟表指针转了一圈多,没法确定到底是“1点”还是“13点”,导致方向解算出现多个结果。 图3.单基线架构示意图 为了兼顾精度和无模糊,实际系统都用“短基线 + 长基线”的组合: 短基线(D₁<λ/2):相位差不会超过±π,就像钟表只转一圈内,能精准确定“几点”,但因为间距短,测向精度低,主要作用是“解模糊”—— 告诉长基线“哪个结果是对的”; 长基线(D₂>λ/2):间距长,相位差范围大,测向精度高,但容易出现模糊,需要短基线“指路”,最终实现“无模糊 + 高精度”的效果。 有了天线阵,怎么把“波程差”变成“方向?”关键是找到波程差和相位差的关系,这是测向的核心“公式桥梁”: 第一步:算波程差。信号来波方向θ和天线间距D,决定了波程差L: 第二步:算波长。无线电信号的波长λ = C/f(C 是光速,约 3×10⁸m/s;f是信号频率); 第三步:算相位差。信号的相位周期是2π,波程差L对应的相位差φ: 第四步:算方向。知道了相位差φ,将式(1)代入(2),可以算出方位角θ: 相关干涉仪测向则以多天线组合的相位差为样本进行相关运算。 实际场景中,天线接收的信号会混进大量噪声(比如电磁干扰、环境杂波),直接用相位差计算来波方向误差就会很大。这时候就需要“互相关运算”来“过滤杂音”:它会对比天线接收的信号和样本,找出其中“同步变化”的部分(这是有用信号的特征),抑制“随机波动”的噪声,让来波方向计算的更准确。 例如:一维计算采用皮尔逊相关系数 (Pearson Correlation Coefficient): 完成互相关运算后得到了信号的粗略来波方向,最后一步就是“方向解算”。通常会用拟合或插值算法,结合多基线的互补数据,算出信号的准确来波方向。比如在雷达系统中,解算后能把目标方位误差控制在 0.5°RMS 以内,确保锁定目标位置。 五、干涉仪测向技术的多元应用:从战场到生活的“精准赋能” 这项技术之所以重要,是因为它的“高精度 + 高稳定性”能解决多个领域的“定位难题”,既守护国家安全,也方便我们的日常生活。 在军事场景中,快速、精准定位敌方信号是关键。干涉仪测向技术凭借1°RMS的高精度,成了电子侦察平台的核心装备: (1)电子侦察飞机:中国运 - 9电子侦察机在设计上融入了干涉仪测向技术。从其机身结构来看,在机身中部机腹处设置有机腹天线群,经推测应为干涉仪测向天线。这一设计使飞机能够对侦察范围内的电磁信号进行处理,通过测量信号到达不同天线的相位差,实现对辐射源的定位。凭借这些先进设备,运 - 9电子侦察机可对几百海里大范围内的敌军舰艇和作战飞机等目标的电磁信号进行侦察、分析,在获取战场情报方面发挥关键作用。 图5.我国运9电子侦察机 (2)舰艇:干涉仪测向装备是舰艇电子侦察的核心,可通过捕捉电磁信号相位差,快速精准定位雷达、通信等辐射源,为作战提供目标坐标,且抗干扰能力强。案例:2023年某区域冲突中,配备该装备的电子侦察船,凭借其高精度测向能力,30分钟内便定位3个敌方隐蔽雷达站,为后续行动提供关键情报支撑。 图6.干涉仪测向技术在军事电子侦察中应用示例 除了战场,这项技术也藏在我们的日常生活里,最典型的就是移动通信基站定位: (1)通信系统干扰源定位:在现代无线通信系统中,干扰源会降低通信质量,相关干涉仪技术可以利用多个天线接收同一信号源的不同信号,通过对这些信号的相位差等参数进行测量和分析,快速准确地定位干扰源的位置,为干扰消除策略提供支持。 (2)无人机监管与导航:利用多个天线组成的干涉仪来测量无人机信号的相位差,从而确定无人机信号的传播方向,可用于无人机的监管,如监测非法无人机的入侵。此外,干涉仪测向技术也可应用于无人机自身的导航系统,提高无人机的定位精度和飞行稳定性。 图7.采用干涉仪测向技术的搬移式无线电系统示例(图片来自“公众号中国无线电”) (3)地质灾害监测:在地震监测等地质灾害预防领域,通过布置干涉仪阵列,可以实时监测地震波的传播和地表的微小变化,这些数据可以用来反演出地下介质的物理属性以及地震的震源机制,帮助研究者更好地了解地震发生的原因,为防震减灾提供科学依据。 结语 从黄蓉和托马斯・杨发现干涉现象,N. Burtnyk、C.W.Mcleish和J.Wolfe将其引入无线电测向领域,到如今支撑无线电监测定位、军事侦察的核心技术,干涉仪测向技术始终在“让方向更精准”。未来,随着传统与AI技术的融合,它可能还会走进自动驾驶、物联网等更多场景 —— 或许不久后,你坐的自动驾驶汽车、家里的智能设备,都会靠它实现“精准感知世界”。 关于祯仪 祯仪科技,专业从事宽频段无线电信号接收,适用于无线电管理、信号侦查与分析、通用频谱分析、卫星导航监测、低空复杂电磁环境感知等。 |





(3)



